Ответы
Ответ дал:
0
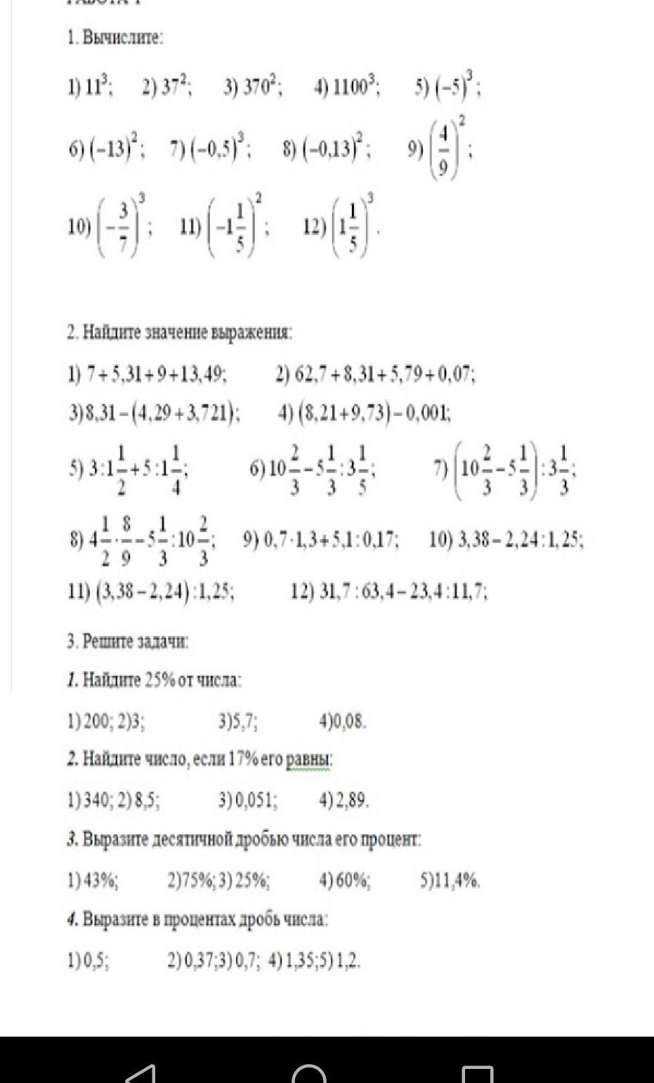
Лови ответы. во вложении
Приложения:





Ответ дал:
0
спасибо
Ответ дал:
1
каникцлы спас
Вас заинтересует
2 года назад
3 года назад
3 года назад
8 лет назад
8 лет назад
9 лет назад