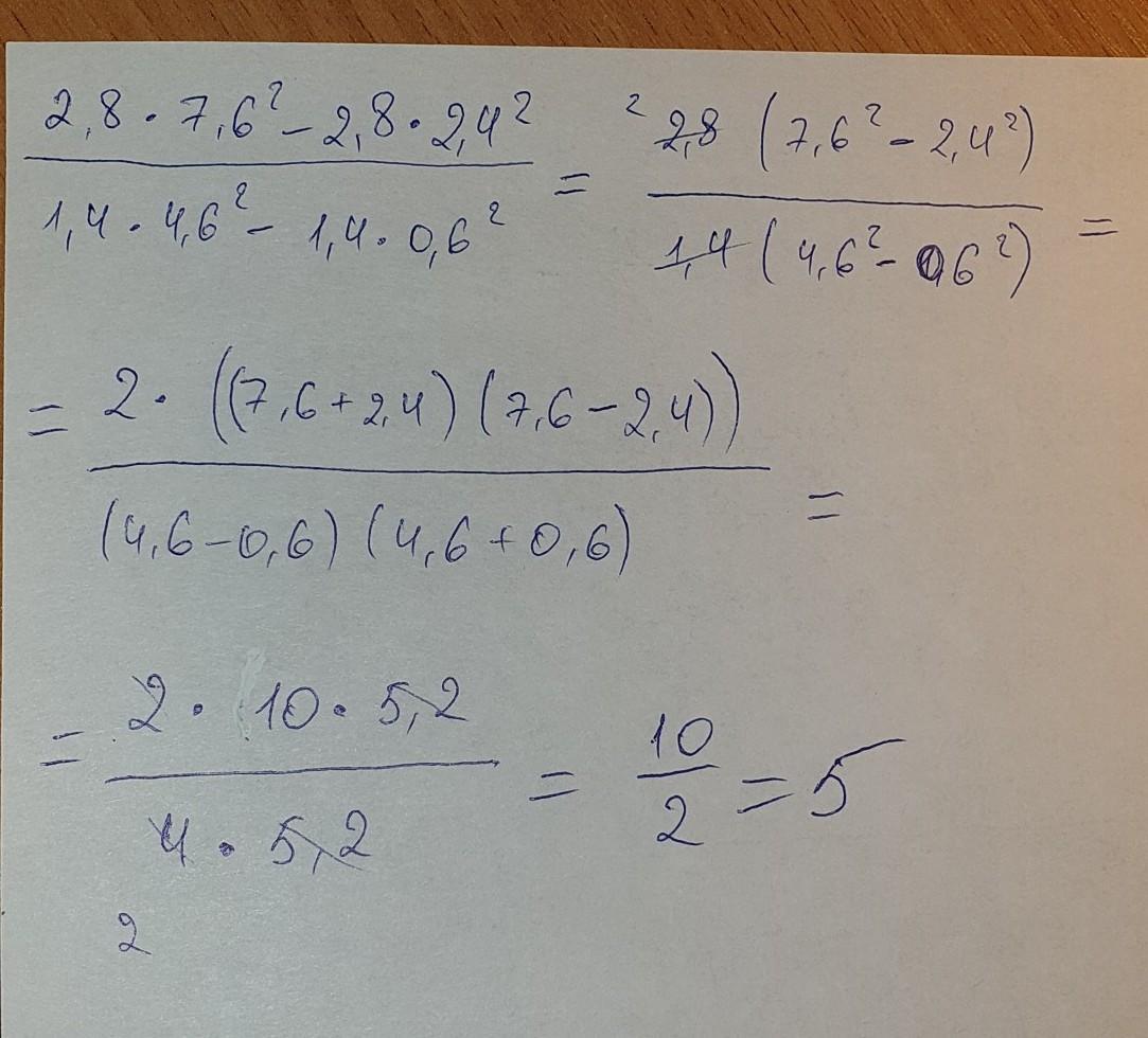
решите пожалуйста первое задание кроме а) и решите более рациональным способом: 2.8*7.6²-2.8*2.4²/1.4*4.6²-1.4*0.6³
Приложения:

Ответы
Ответ дал:
0
Я решил второе задание, исправил в конце "3" на "2". Там скорее всего опечатка
Приложения:

Вас заинтересует
2 года назад
3 года назад
3 года назад
8 лет назад
8 лет назад
9 лет назад