• Предмет: Математика
  • Автор: Flexom
  • Вопрос задан 8 лет назад

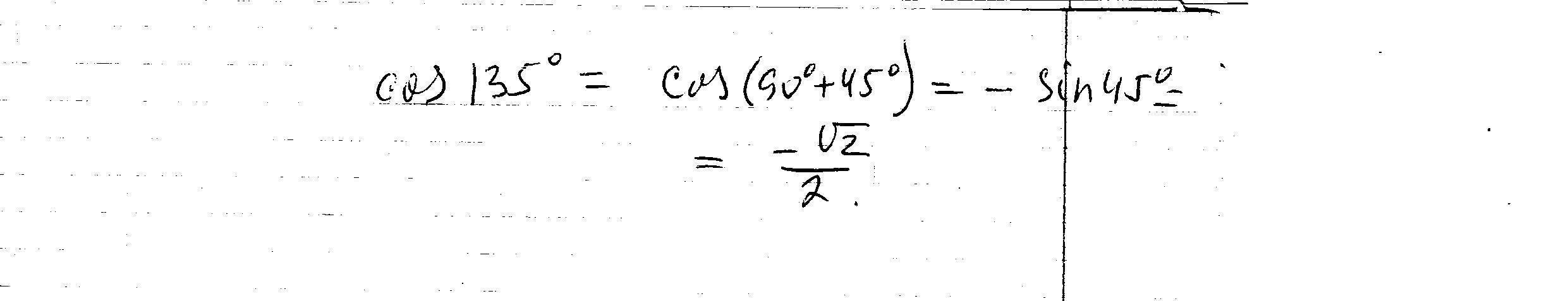
Почему косинус поменяли на синус?

Приложения:

Ответы

Ответ дал: ivolgas1101oz0aix
0

 cos(90 -  alpha ) =  sin( alpha )

В данном случае

 cos(90 +  alpha )  =   -  sin( alpha )

Ответ дал: 1233090
0

по формуле приведения,через 90•,название функции меняется на противоположную. sin(a) на cos(a);cos(a) на sin(a);tg(a) на ctg(a);ctg(a) на tg(a)

Вас заинтересует