• Предмет: Математика
  • Автор: dmasya
  • Вопрос задан 8 лет назад

))))))))))))))))))))))))))))))))))))))))))))))))))))))))))))))))

Приложения:

Ответы

Ответ дал: Опыт
0

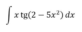
Ответ:

(1/10)ln|cos(2-5x^2)|+C

x^2=t   2xdx=dt  

тогда интеграл примет вид  1/2Int(tg(2-5t)dt=1/2Int(sin(2-5t)/cos(2-5t))dt

вспомним, что (cost)'=-sin(t)

=1/2ln|cos(2-5t)|*1/5=(1/10)ln|cos(2-5t)|+C

возвращаемся к старой переменной

=

Пошаговое объяснение:

x^2=t   2xdx=dt  

тогда интеграл примет вид  1/2Int(tg(2-5t)dt=1/2Int(sin(2-5t)/cos(2-5t))dt

вспомним, что (cost)'=-sin(t)

=1/2ln|cos(2-5t)|*1/5=(1/10)ln|cos(2-5t)|+C

возвращаемся к старой переменной

=(1/10)ln|cos(2-5x^2)|+C

Вас заинтересует