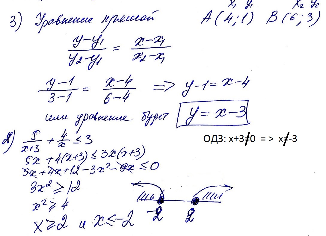
1) Найдите область значения функции y= x^2 +1/ x^2
2)Решите неравенство 5/x+3 +4/x
3.
3)Запишите уравнение прямой,проходящей через точки А(4;1) и B(6;3).
ПОМОГИТЕ РЕШИТЬ,ПРОШУ,ЗАБЫЛА СОВСЕМ,КАК ЭТО ДЕЛАТЬ,стыдно.
Ответы
Ответ дал:
0
Решение ниже представлено в приложении
Приложения:

Ответ дал:
0
Блин забыл найти ОДЗ. Исправил. Спасибки
Вас заинтересует
2 года назад
8 лет назад
10 лет назад
10 лет назад