• Предмет: Физика
  • Автор: SpaceHolder
  • Вопрос задан 8 лет назад

ребята, завтра контроша, а я тупой как воробушек, помогите пж, даю 25 баллов​

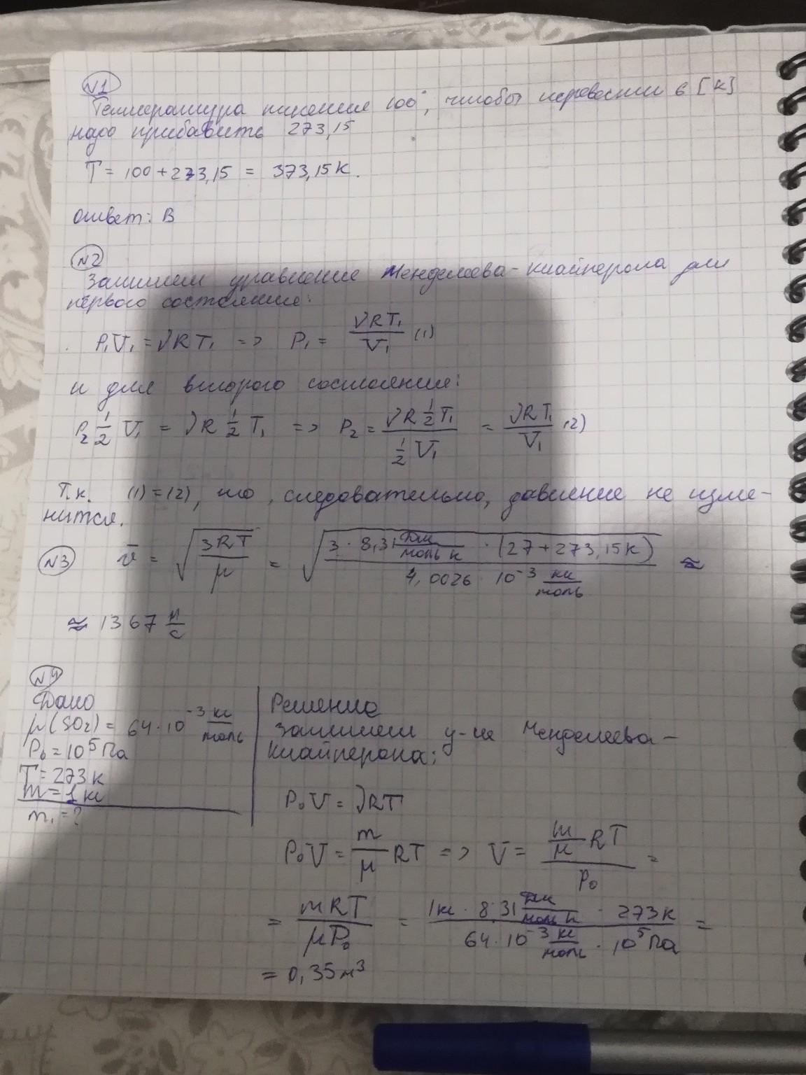
Приложения:

Ответы

Ответ дал: ФридрихНицше
0

Завтра утром допишу прикреплю еще фото

Приложения:
Ответ дал: SpaceHolder
0
спасибо огромное, можете завтра еще остальные 2 варианта решить пж, они у меня в вопросах висят давно, спасибо еще раз!
Вас заинтересует