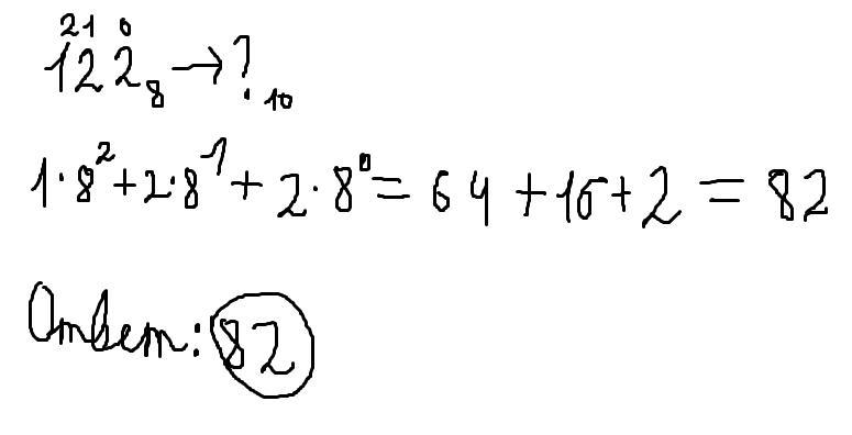
Запиши число 122(8) в десятичной системе счисления. И как вообще переводить целые числа из 8-чной в 10-ую систему счисления..?
Ответы
Ответ дал:
0
122(8) = 82(10)
Для перевода из любой системы счисления в десятичную, нужно пронумеровать число с конца начиная от нуля. Дальше брать одну цифру и умножать на систему счисления в степени той цифрки которую вы ей дали до этого. Всё это плюсовать между собой. В теории слишком сложно, в практике становится всё понятно. Ниже пример вашего примера =)
Приложения:
Вас заинтересует
3 года назад
9 лет назад
10 лет назад