Ответы
Ответ дал:
0
Ответ во вложении, успехов
Приложения:

Ответ дал:
0
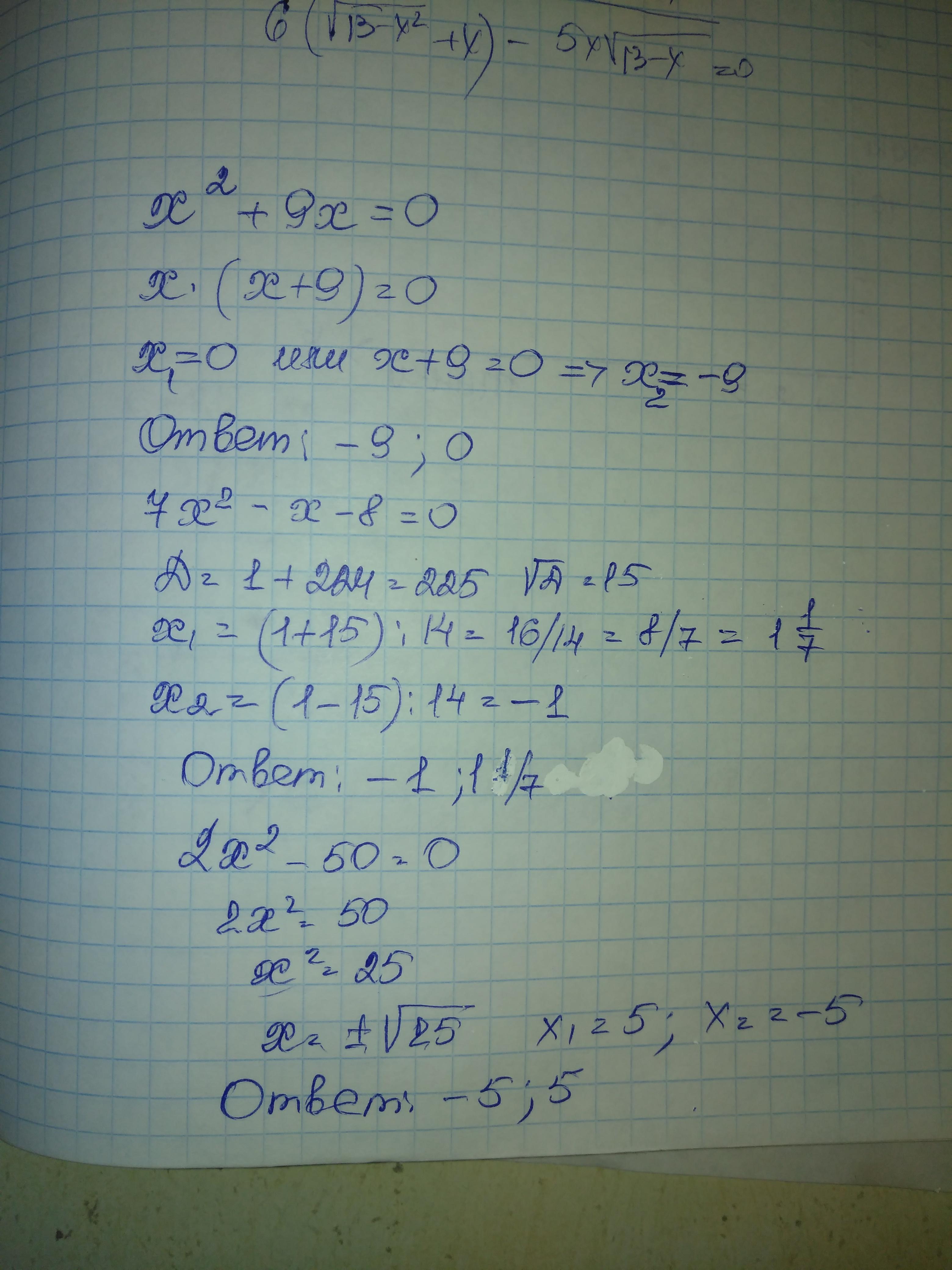
Смотри.................
Приложения:

Вас заинтересует
2 года назад
3 года назад
3 года назад
8 лет назад
8 лет назад
9 лет назад
9 лет назад