Ответы
Ответ дал:
0
Ответ:
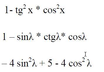
cos^2 (x)
Пошаговое объяснение:
это первый пример.
1 = sin^2 (x) + cos^2 (x)
tg^2 (x) = sin^2 (x) / cos^2 (x)
получается, если расписать пример
sin^2 (x) + cos^2 (x) - (sin^2 (x) / cos^2 (x) ) * cos^2 (x)
то, что выделил жирным - сокращается.
Остаётся sin^2 (x) + cos^2 (x) - sin^2 (x)
То что жирным - это 0
остаётся cos^2 (x)
Ответ дал:
0
Ответ для второго примера sin^2 (x)
Второй пример решение
1-sin(x)*ctg(x)*cos(x)
ctg(x) - это cos(x)/sin(x)
синусы сокращаются, косинусы умножаются (сейчас распишу)
1 - sin(x)* (cos(x) / sin(x))*cos (x)
Остаётся 1 - cos^2 (x) или sin^2 (x)
Второй пример решение
1-sin(x)*ctg(x)*cos(x)
ctg(x) - это cos(x)/sin(x)
синусы сокращаются, косинусы умножаются (сейчас распишу)
1 - sin(x)* (cos(x) / sin(x))*cos (x)
Остаётся 1 - cos^2 (x) или sin^2 (x)
Ответ дал:
0
Ответ для 3го примера 1
Третий пример решение
Выносим за скобки -4
-4 ( sin^2 (x) - 1.25 + cos^2 (x))
как я выше писал: sin^2 (x) + cos^2 (x) = 1, следовательно в скобках у нас получается 1 - 1,25 = -0,25
Теперь умножаем на -4 и получаем 1 (то есть -4 * -0,25 = 1)
Третий пример решение
Выносим за скобки -4
-4 ( sin^2 (x) - 1.25 + cos^2 (x))
как я выше писал: sin^2 (x) + cos^2 (x) = 1, следовательно в скобках у нас получается 1 - 1,25 = -0,25
Теперь умножаем на -4 и получаем 1 (то есть -4 * -0,25 = 1)
Ответ дал:
0
Надеюсь, что помог :)
Ответ дал:
0
Очень помог. Спасибо)
Вас заинтересует
2 года назад
2 года назад
3 года назад
3 года назад
9 лет назад
9 лет назад