• Предмет: Математика
  • Автор: MaikelTvern
  • Вопрос задан 8 лет назад

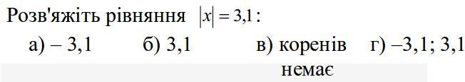
Народ помоги решить пример

Приложения:

Ответы

Ответ дал: Bloorysnake
0

Так как модуль числа принимает только неотрицательные значения, то x'ом может являться само число 3,1, либо ему противоположное - 3,1.

Ответ: -3,1; 3,1 (г)

Вас заинтересует