Решите, пожалуйста. Желательно с объяснением! Даю 100 баллов.
Вот 6 задание:
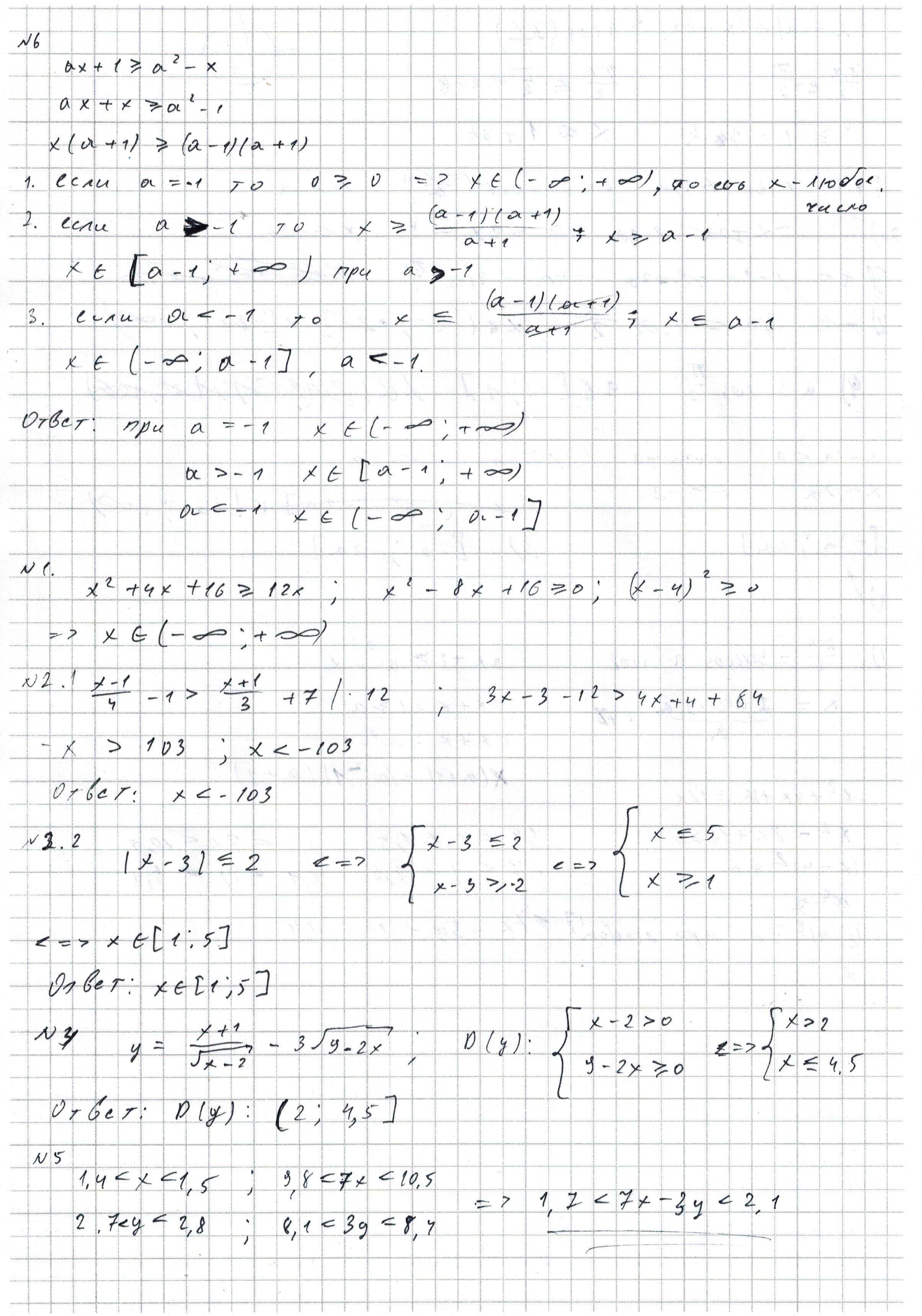
6. При всех значениях параметра я решите неравенство ax+ 1 >=(больше или равно) a2(а в квадрате) - x
Приложения:

Ответы
Ответ дал:
0
Здравствуйте! Если в 4 там -3 * корень и я правильно вас понял в 1, что там требуется доказать истинность неравенства при любом действительном х.
Приложения:

Вас заинтересует
2 года назад
3 года назад
8 лет назад
8 лет назад