• Предмет: Математика
  • Автор: Tratataty
  • Вопрос задан 8 лет назад

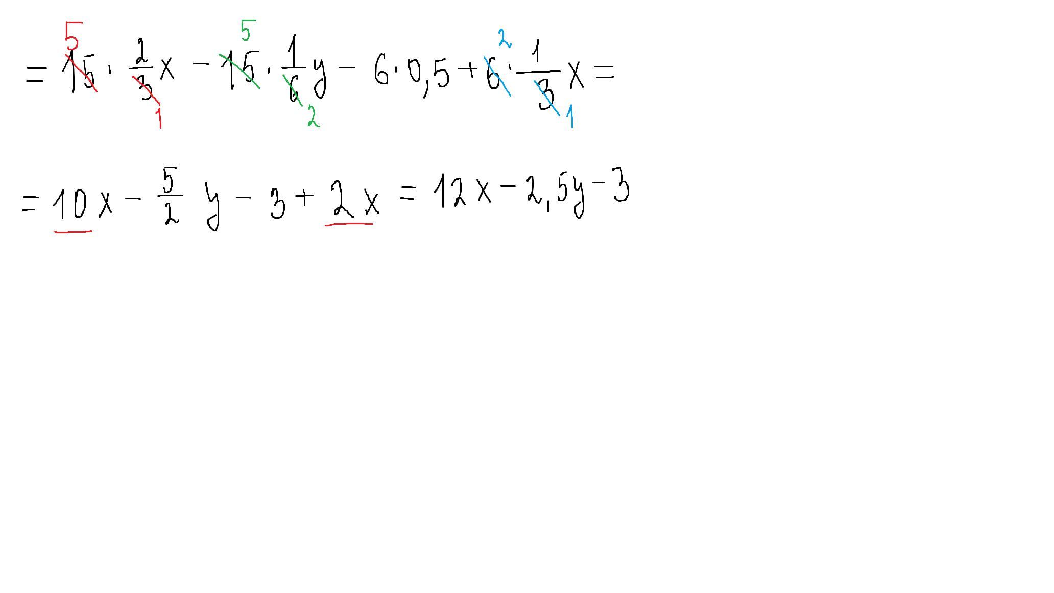
Упростить подробно 15*(2/3х-1/6у)-6*(0.5-1/3х)

Ответы

Ответ дал: parus77
0

Ответ:

Пошаговое объяснение:

Приложения:
Вас заинтересует