Ответы
Ответ дал:
0
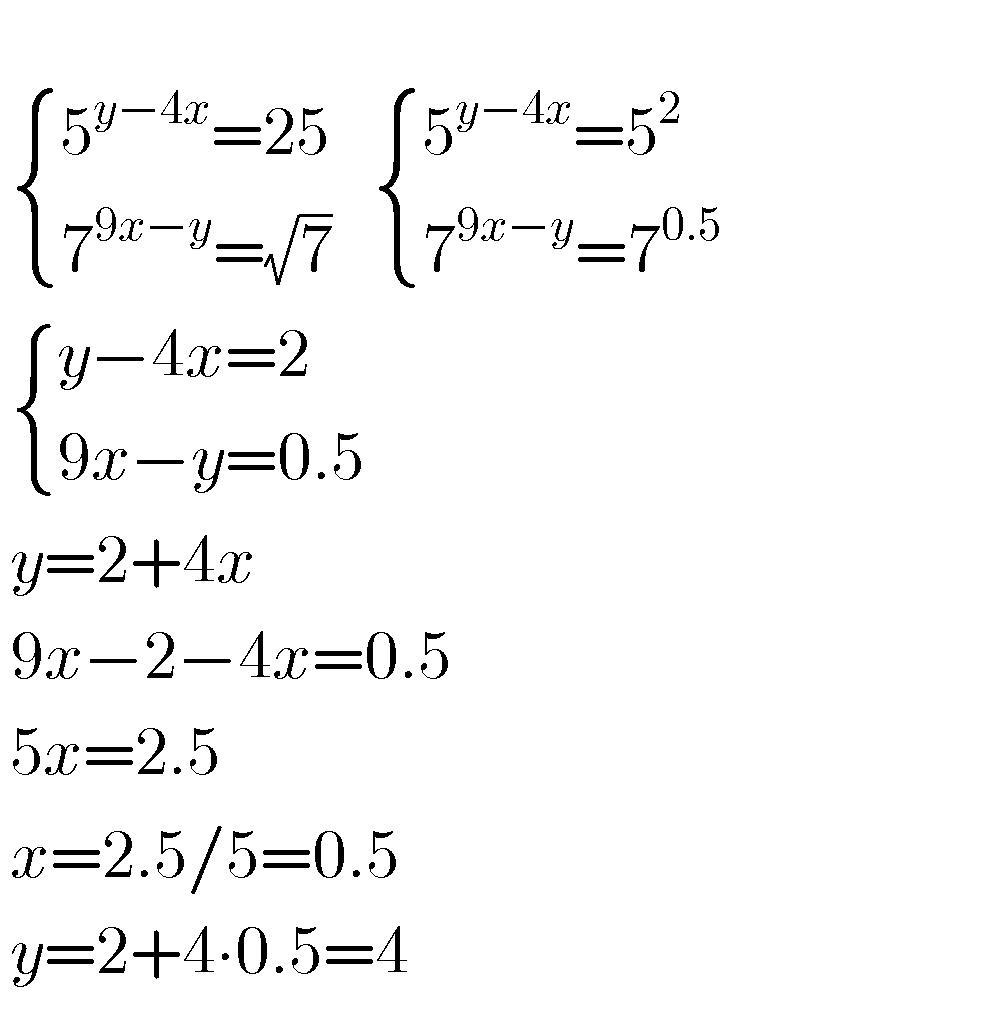
Смотри решение на картинке
Приложения:

Вас заинтересует
3 года назад
3 года назад
8 лет назад
9 лет назад