• Предмет: Физика
  • Автор: miFARE
  • Вопрос задан 8 лет назад

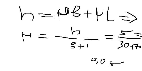
По наклонной плоскости h = 5м и основанием b = 30м съезжают санки, которые останавливаются, проехав от основания участок длиной l = 70м. Если коэффициент трения u одинаков на всём пути, то он равен... Желательно с рисунком и где надо с комментариями

Ответы

Ответ дал: grattttt
0

Дано:

h = 5 м, b = 30 м, l = 70 м.

Найти: μ

μ= р/   b+l

μ = 5/30+70=5/100=0,05

Приложения:
Ответ дал: miFARE
0
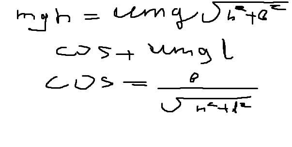
Можно подробнее? Как ты вывел формулу?
Ответ дал: grattttt
0
ок
Ответ дал: miFARE
0
Просто я решаю для себя, а не дз. Поэтому хочу разобраться
Ответ дал: miFARE
0
Спасибо большое
Ответ дал: grattttt
0
вот еще
Вас заинтересует