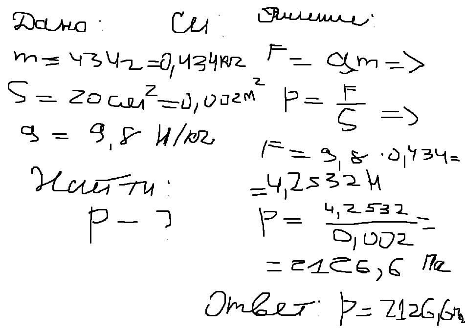
434 г жидкости налили в сосуд, площадь дна которого равна 20 см². Определи давление жидкости на дно сосуда. Принять g = 9,8 Н/кг.
Ответы
Ответ дал:
0
вложениееееееееееееееееее
Приложения:

Ответ дал:
0
или 2,1266 килопаскаль
Вас заинтересует
2 года назад
2 года назад
3 года назад
8 лет назад
9 лет назад