ДОПОМОЖІТЬ!!! Даю 90 балів!!!
спростити і знайти значення:
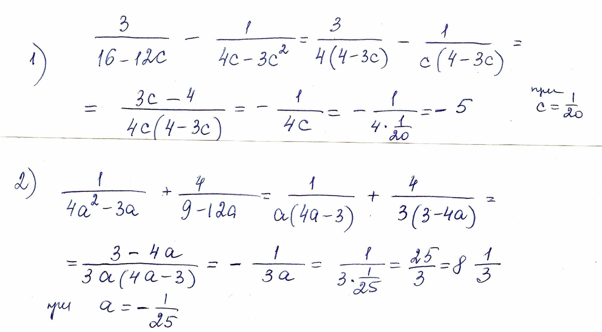
1)3/(16-12с)-1/(4с-3с*2) при с=1/20
2)1/(4а*2-3а)+4/(9-12а) при а=-1/25
Ответы
Ответ дал:
0
ответ на фото\\\\\\\\\\\\\\\\\\\\\\\
Приложения:

Ответ дал:
0
и так же видно...
Вас заинтересует
2 года назад
2 года назад
3 года назад
3 года назад
8 лет назад
8 лет назад
9 лет назад
9 лет назад