• Предмет: Алгебра
  • Автор: slobodanuk2005
  • Вопрос задан 8 лет назад

ДОПОМОЖІТЬ!!ДАЮ 70 БАЛІВ!!!
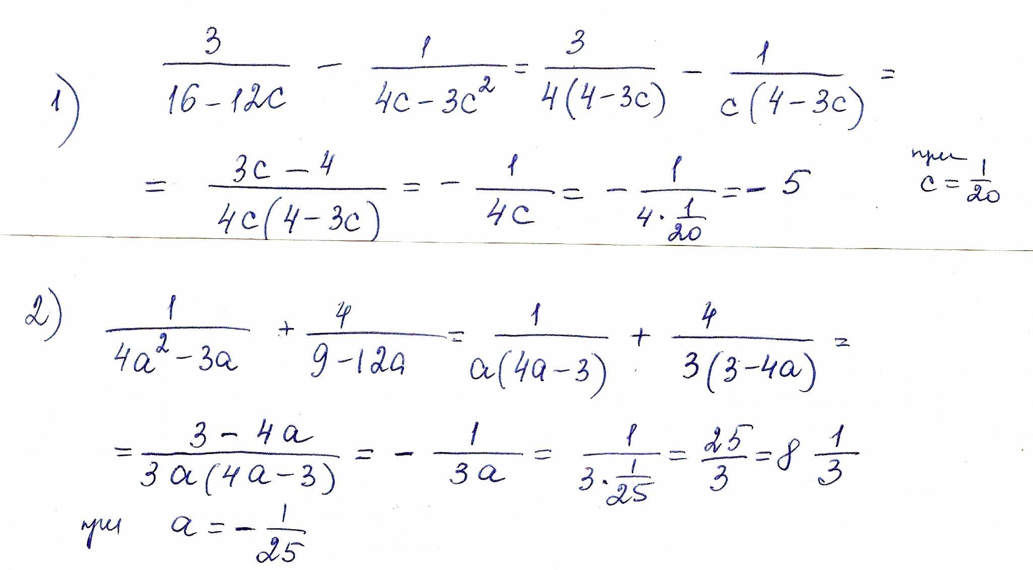
1)3/(16-12с)-1/(4с-3с^2) при с=1/20
2)1/(4а^2-3а)+4/(9-12а) при а=-1/25

Ответы

Ответ дал: maksimcat
0

ответ на фото\\\\\\\\\\\\\\\\\\\\\\\\\

Приложения:
Ответ дал: slobodanuk2005
0
спасибо
Вас заинтересует