• Предмет: Алгебра
  • Автор: pussyminihun
  • Вопрос задан 8 лет назад

Решите этот гребаный номер

Приложения:

Ответы

Ответ дал: shavrinatv
0

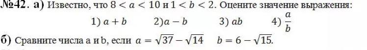
a) 8<a<10      1) 9<a+b<12 2)  -2<-b<-1    6<a-b<9   3) 8<ab<20

1<b<2             4) 1/2<1/b<1   4<a/b<10

b) a=√37-√14     b=6-√15=√36-√15

a>b,  т.к.√37 >√36 и из √37 вычитают меньшее число(√14 <√15)

Вас заинтересует