• Предмет: Математика
  • Автор: Makivara
  • Вопрос задан 8 лет назад

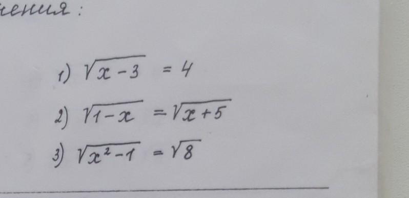
решить уравнение...................​

Приложения:

Ответы

Ответ дал: slmaria
0

Ответ:

1.x-3=16

X=16+3

X=19

3.x*2-1=8

X*2=9

X=+-3

Пошаговое объяснение:

Ответ дал: slmaria
0
2.1-x=x+5
Ответ дал: slmaria
0
-2x=4
Ответ дал: slmaria
0
X=-2 по-моему так.
Ответ дал: Terraxren
0
1) x-3=16<=>x=19
2) 1-x=x+5<=>2x=-4<=>x=-2
3) x^2-1=8<=>x^2=9<=>x=+/-3
Вас заинтересует