Ответы
Ответ дал:
0
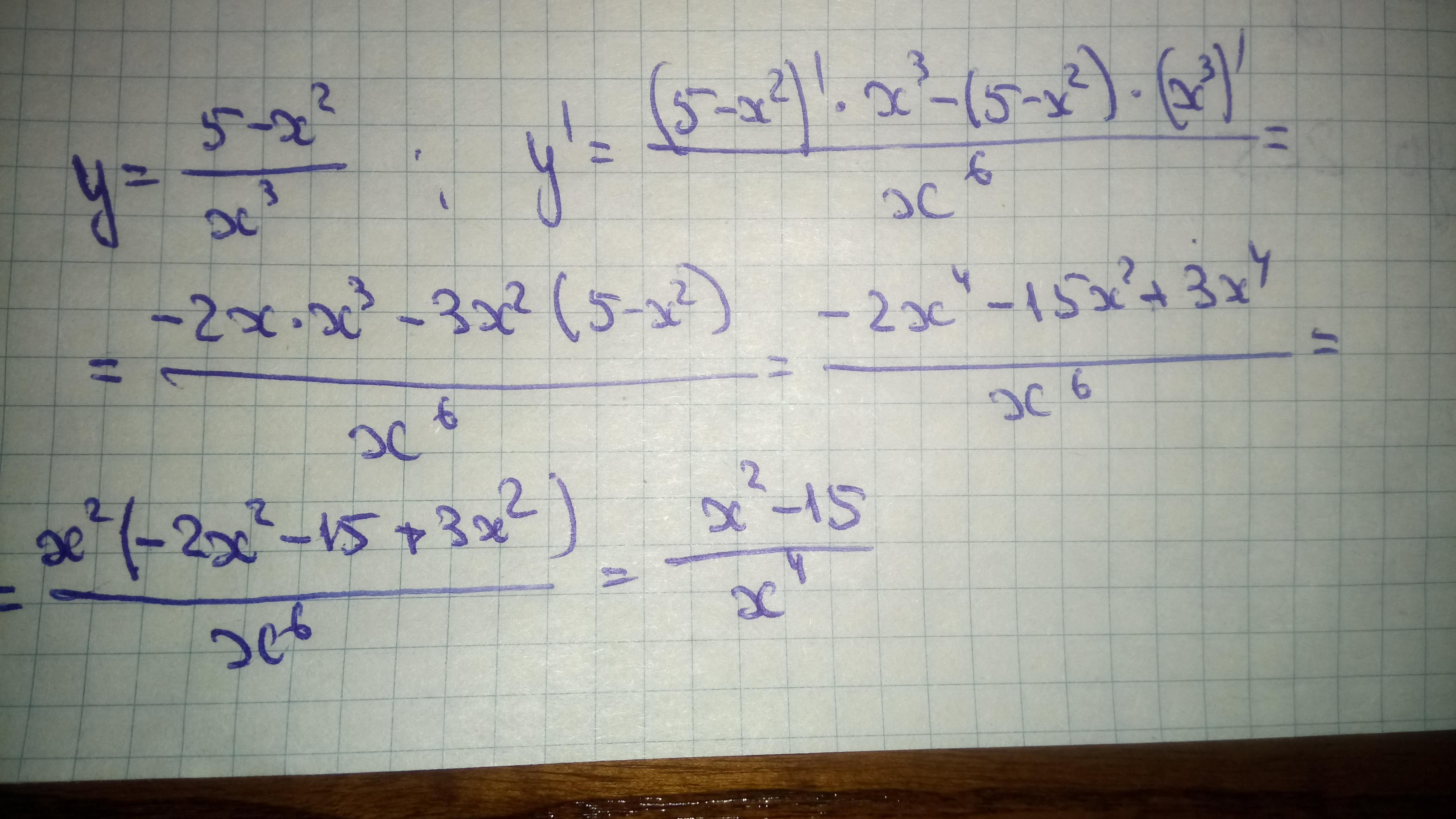
Решение задания приложено. 2 способа
Приложения:


Вас заинтересует
2 года назад
2 года назад
3 года назад
8 лет назад
9 лет назад