Ответы
Ответ дал:
0
Ответ:
Пошаговое объяснение:
y=x²+x-2/(1-x)=x²+x+2/(x-1)
y'=2x+1 -2/(x-1)²
Ответ дал:
0
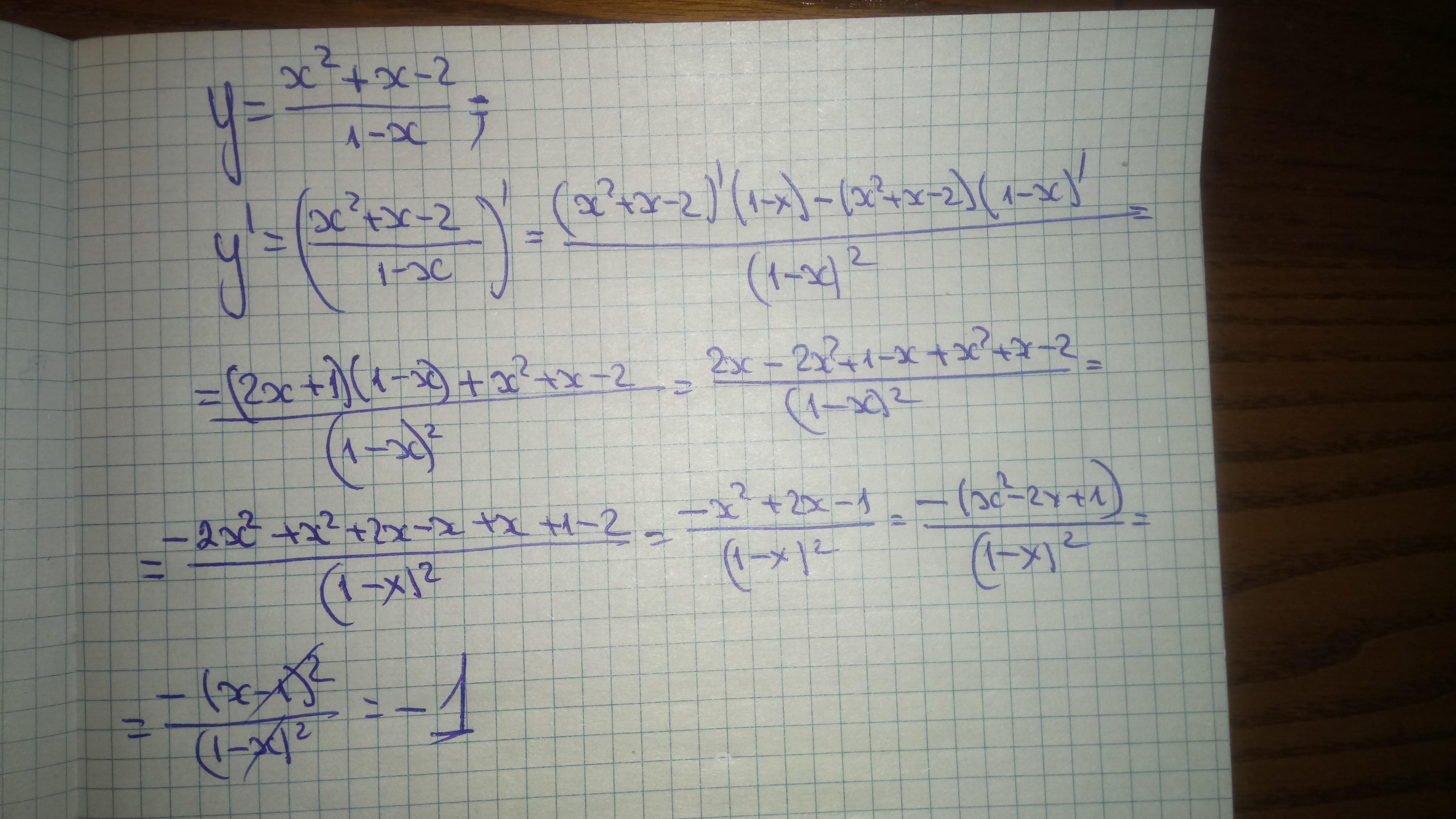
Ответ-1. На 3 листе я вам ещё раз показала решение по 1 спомобу, оно рациональнее.
Приложения:



Ответ дал:
0
Мне нужно решение дифференцирования производной
Ответ дал:
0
Производная равна - 1. Выражение упрощаем и находим производную.
Ответ дал:
0
Производная найдена
Вас заинтересует
2 года назад
2 года назад
3 года назад
3 года назад
8 лет назад
8 лет назад