• Предмет: Алгебра
  • Автор: Dthjybxrf1boom
  • Вопрос задан 8 лет назад

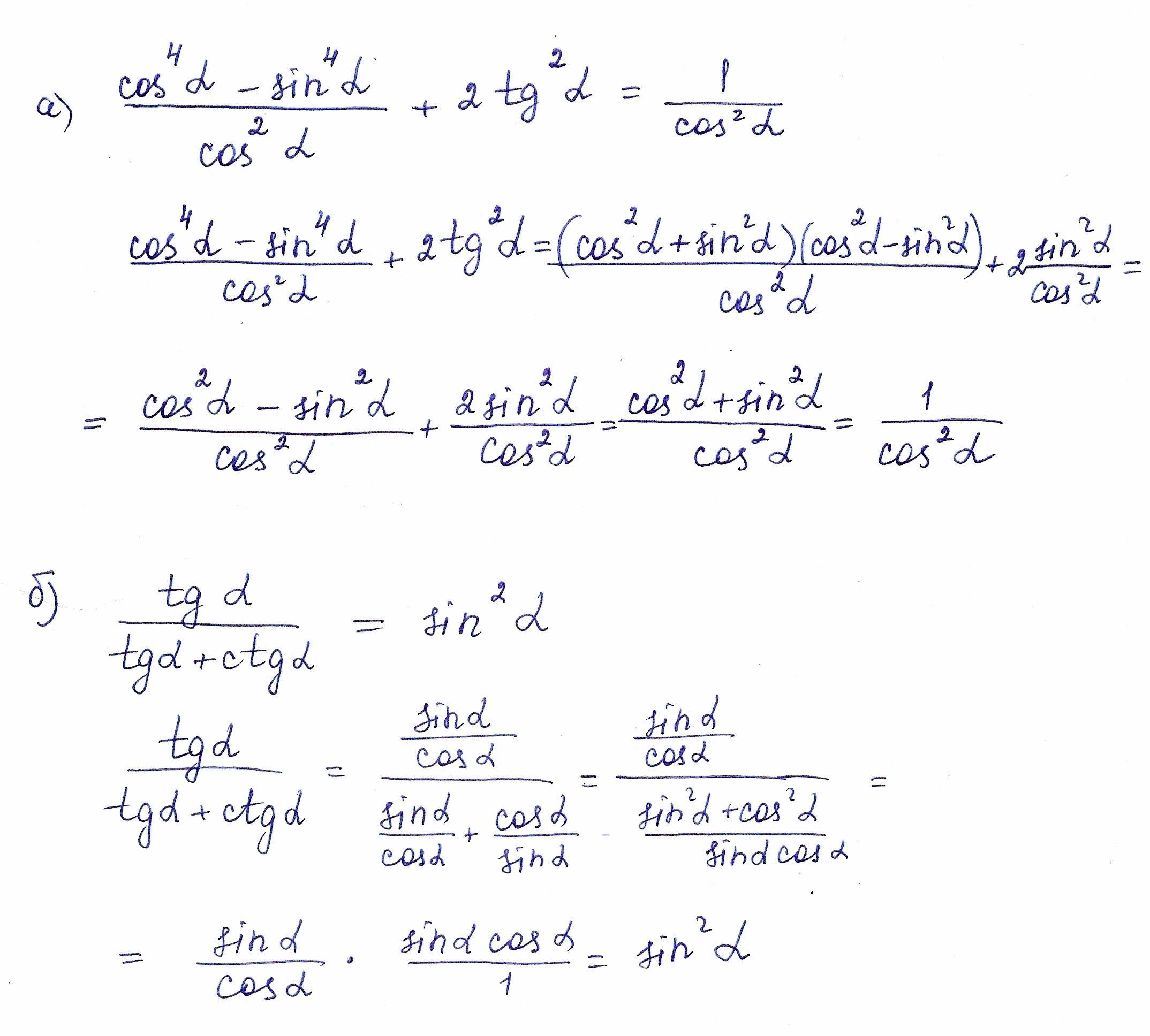
ТРИГОНОМЕТРИЯ!!! Помогите пожалуйста с подробным желательно решением. Один помог решить, но я не все понял

Приложения:

Ответы

Ответ дал: maksimcat
0

ответ на фото\\\\\\\\\\\\\\\\\\\\\\\\

Приложения:
Вас заинтересует