Ответы
Ответ дал:
0
Ответ:
Пошаговое объяснение:
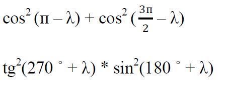
При первом переходе из-за того, что квадраты, минусы съедаются, поэтому проще
Приложения:

Вас заинтересует
2 года назад
3 года назад
3 года назад
8 лет назад
8 лет назад
9 лет назад
9 лет назад