Ответы
Ответ дал:
0
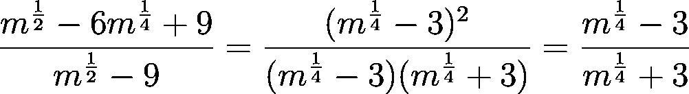
В числителе квадрат разности: (a - b)² = a² - 2ab + b²
В знаменателе разность квадратов: a² - b² = (a - b)(a + b)
Приложения:

Вас заинтересует
2 года назад
3 года назад
8 лет назад
8 лет назад
9 лет назад