• Предмет: Физика
  • Автор: 7774267
  • Вопрос задан 8 лет назад

Решите пожалуйста!!! Срочно!!! ​

Приложения:

Ответы

Ответ дал: praia
0

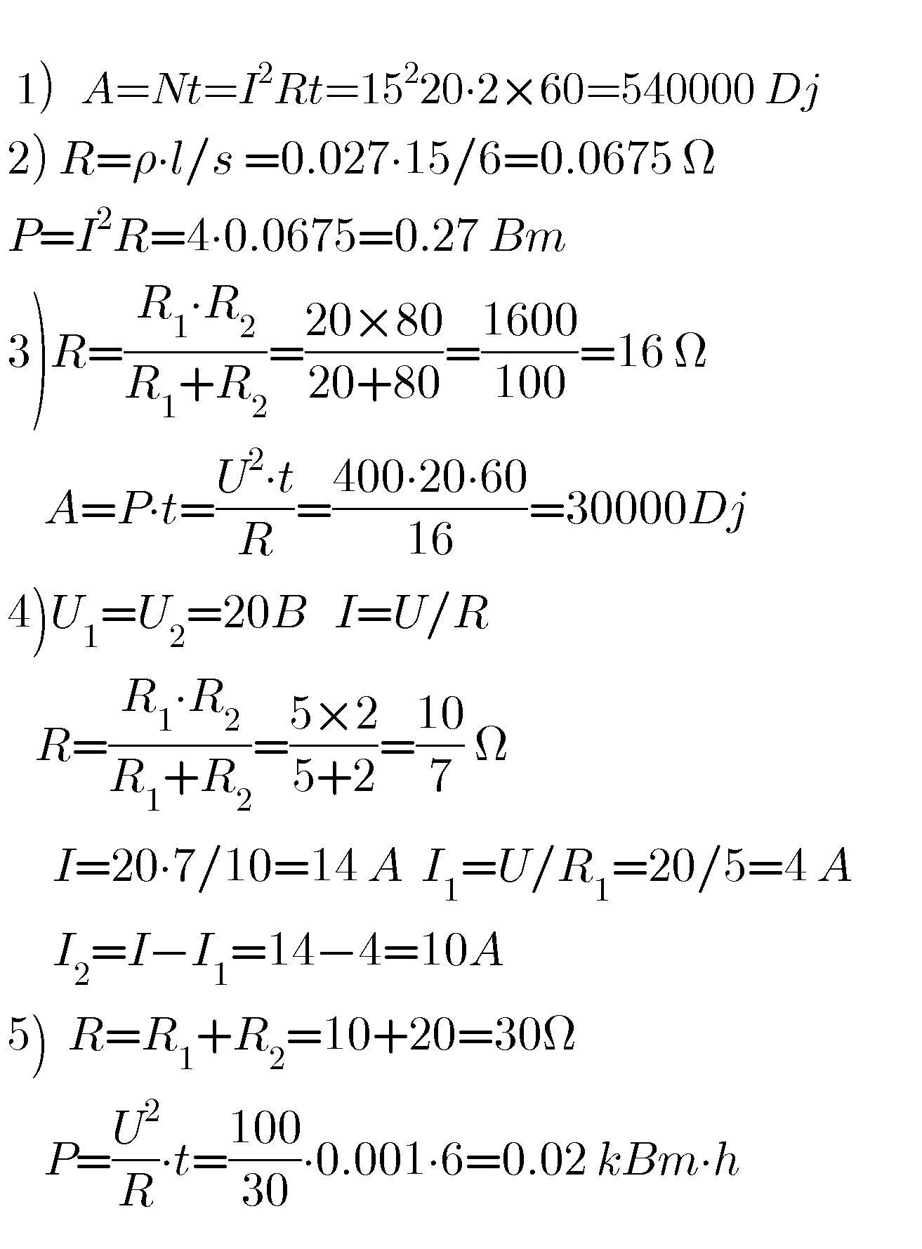
Смотри решения всех заданий на картинке

Работа и энергия в Дж

Мощность в Вт

Сопротивление в Ом

В редакторе нет русского языка

Приложения:
Вас заинтересует