Ответы
Ответ дал:
0
Ответ:
Пошаговое объяснение:
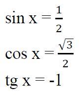
x=(-1)ⁿarcsin(1/2)+пn=(-1)ⁿп/6+пn
x=arccos(√3/2)+2пn=п/6+2пn
x=-п/4+пn
Вас заинтересует
2 года назад
2 года назад
3 года назад
9 лет назад
9 лет назад
10 лет назад