• Предмет: Математика
  • Автор: miroslavkhazov
  • Вопрос задан 8 лет назад

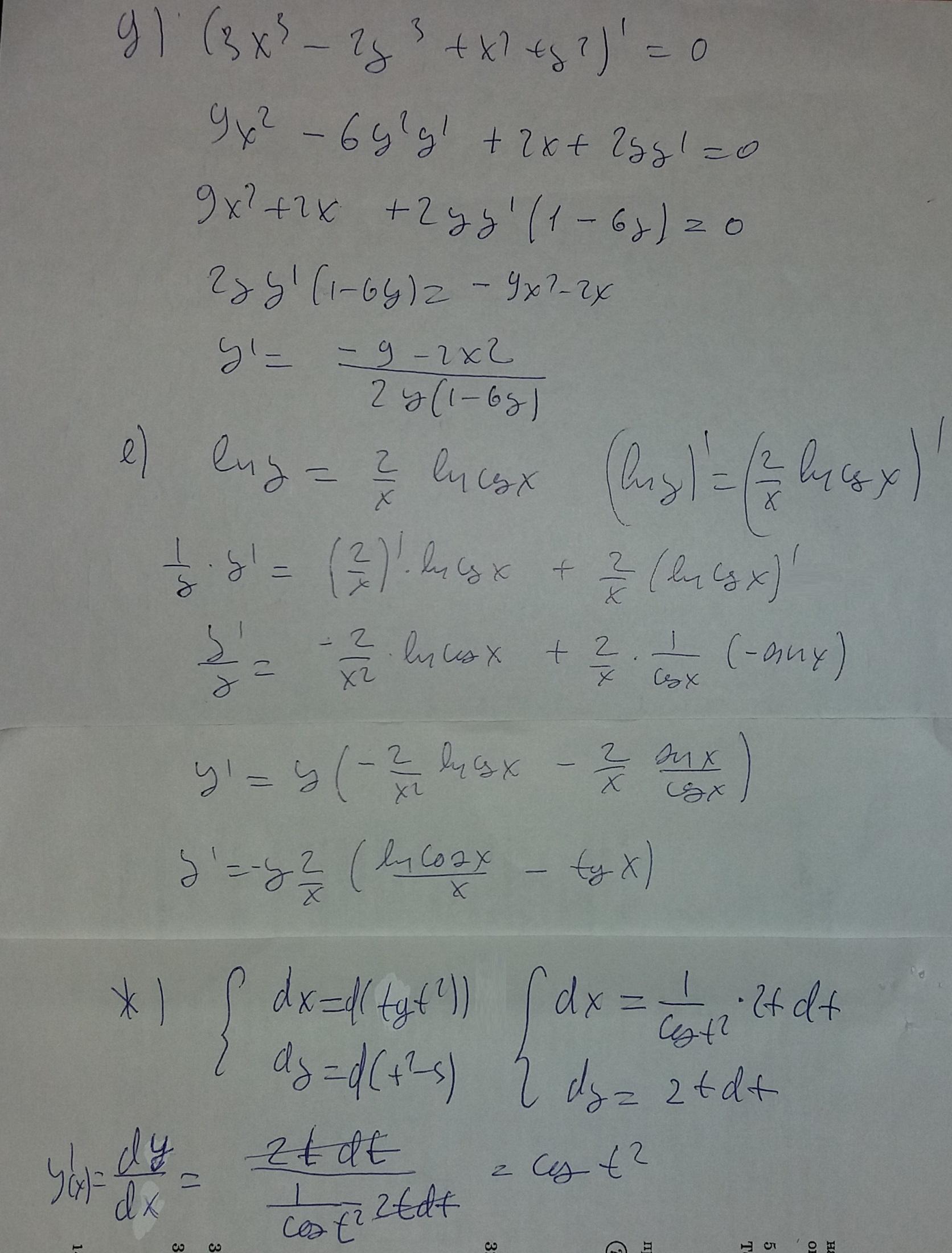
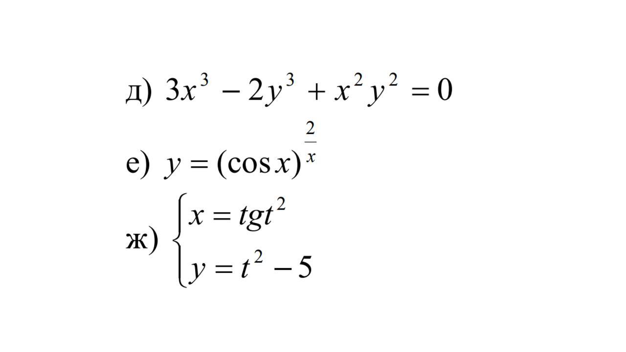
Помогите найти производные функции, на фото, ниже

Приложения:

Ответы

Ответ дал: Bena20191
0

Ответ:

Пошаговое объяснение:

Приложения:
Вас заинтересует