• Предмет: Математика
  • Автор: Tosta555
  • Вопрос задан 8 лет назад

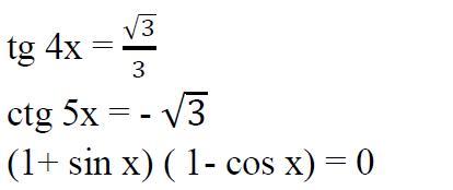
Решите уравнение. Срочно !!

Приложения:

Ответы

Ответ дал: ostlis
0
.............................
Приложения:
Ответ дал: Bena20191
0

Ответ:

Пошаговое объяснение:

Приложения:
Вас заинтересует