• Предмет: Алгебра
  • Автор: kite4ka
  • Вопрос задан 8 лет назад

ДАМ 50 баллов за решение!!!

Приложения:

Ответы

Ответ дал: lilNastasi
0

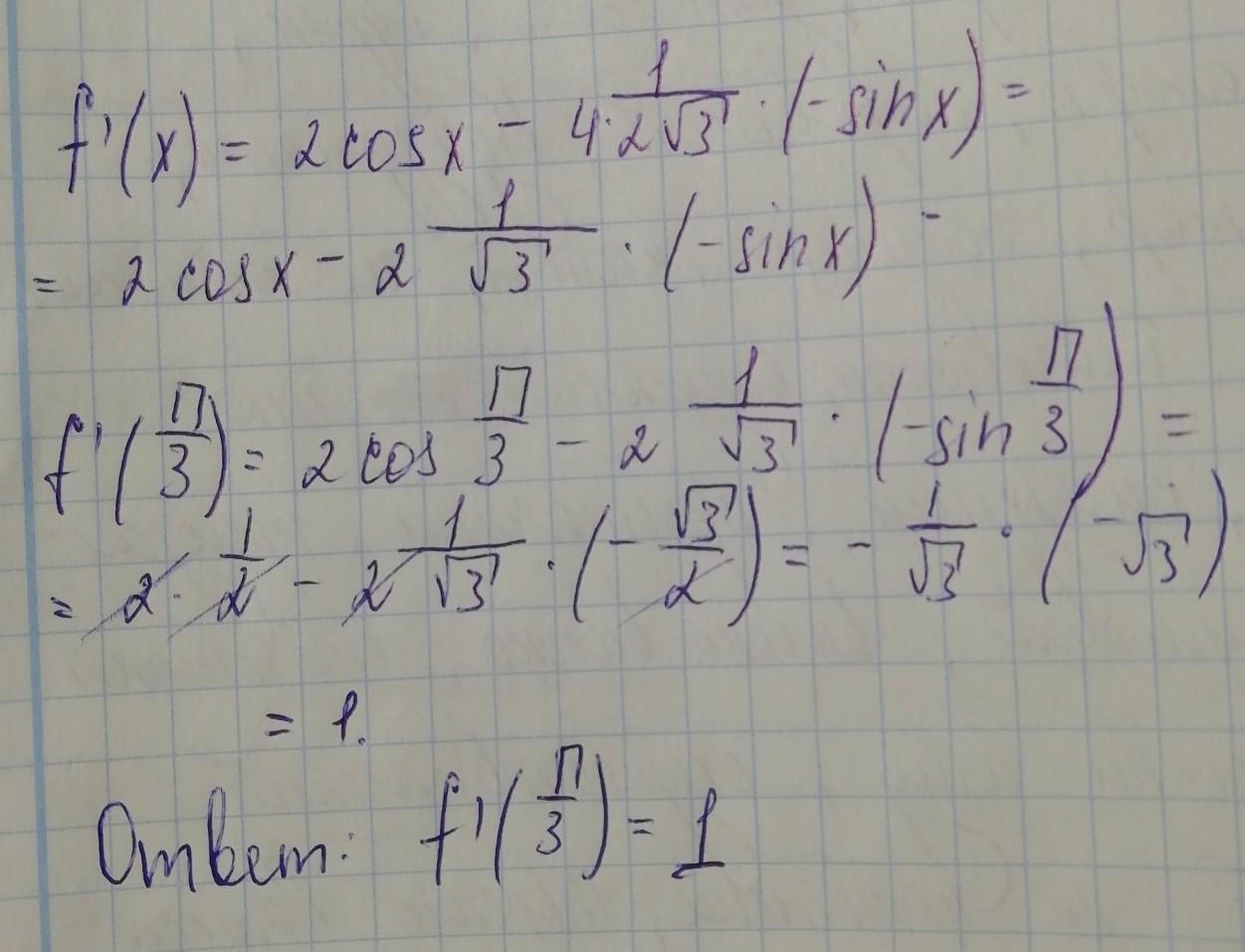
Должно быть правильно :)

Приложения:
Ответ дал: kite4ka
0
1) 2 + 4 корень из 3
2) 7
3) -5
4) 5
5) 2 корень из 3 - 2
Ответ дал: kite4ka
0
это варианты ответов)
Вас заинтересует