• Предмет: Математика
  • Автор: Atem4k
  • Вопрос задан 8 лет назад

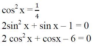
Решить уравнение Ещё парочка.

Приложения:

Ответы

Ответ дал: ZLOYTIGROVSKIY
0

~•~•~•ZLOY_TIGROVSKIY~•~•~•

Приложения:
Ответ дал: LizavetaV18
0

На самом деле, ничего сложного в этом нет)

Приложения:
Вас заинтересует