• Предмет: Математика
  • Автор: izabella9
  • Вопрос задан 8 лет назад

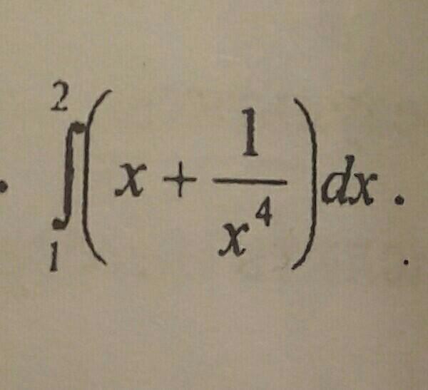
.Решить интеграл.. ..

Приложения:

Ответы

Ответ дал: Асик777Асик
0

Ответ: 43/24

Пошаговое объяснение:

intlimits^2_1({x+frac{1}{x^4} } ), dx =intlimits^2_1({x+x^-^4} ), dx =(frac{x^2}{2}+frac{x^-^3}{-3})|^2_1=(frac{2^2}{2}+frac{2^-^3}{-3})-(frac{1^2}{2}+frac{1^-^3}{-3})=\=(2-frac{1}{24})-(frac12-frac13)=frac{47}{24}-frac16=frac{47-4}{24}=frac{43}{24}=1frac{19}{24}

Ответ дал: izabella9
0
Здравствуйте, у вас есть ВК?
Ответ дал: Асик777Асик
0
Нет, но есть Whats App.
Ответ дал: армения20171
0
$(1 2)(x+1/x⁴)dx=(x²/2-x^(-3)/3

(1 ___2)=

(4/2-2^(-3)/3)-(1/2-2/3)
(2-1/24)-1/6=
2-(1+4)/24=2-5/24=
1 19/24
Вас заинтересует