Ответы
Ответ дал:
0
Ответ:
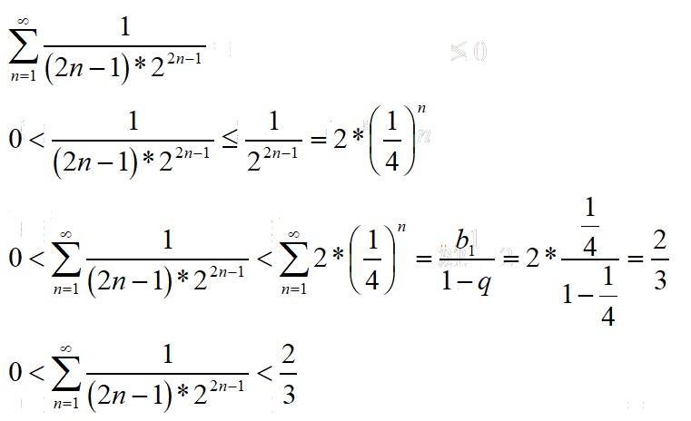
ряд сходится
Пошаговое объяснение:
Приложения:

Ответ дал:
0
С помощью какой программы вы делаете решения?
Вас заинтересует
2 года назад
2 года назад
3 года назад
3 года назад
8 лет назад