• Предмет: Алгебра
  • Автор: Фёдор54
  • Вопрос задан 8 лет назад

1) 1/√3-√2
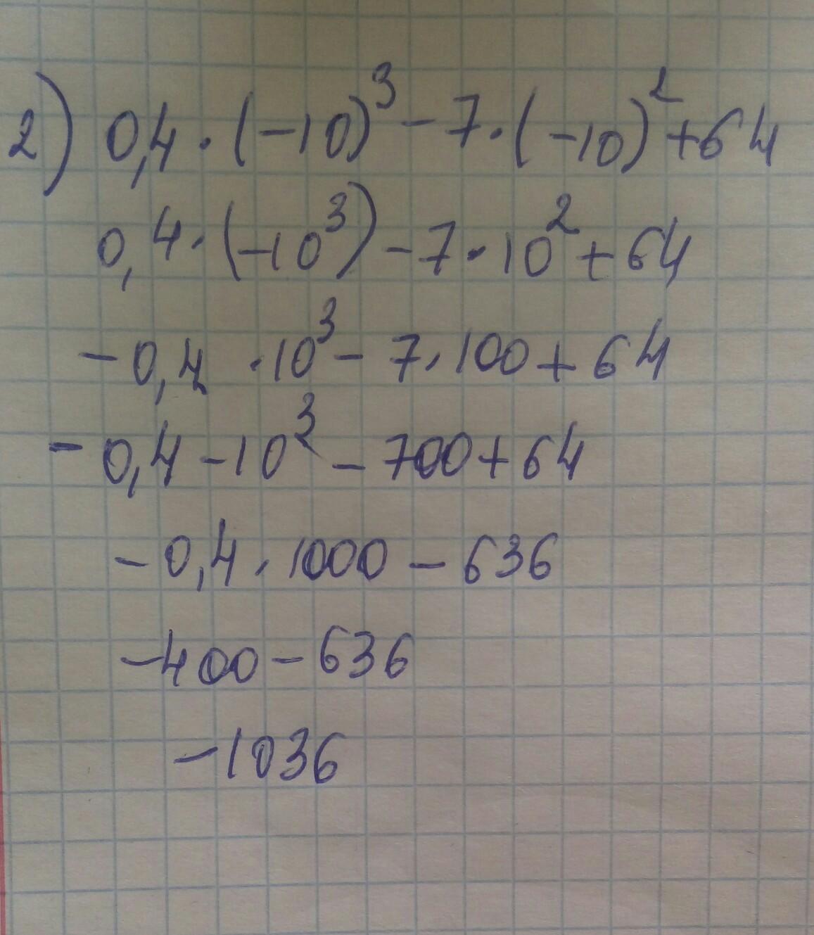
2)0,4*(-10)^3-7*(-10)^2+64
3)-0,7*(-10)^4-5*(-10)^3-32
4)1/ 1/36+1/45

Ответы

Ответ дал: sneshanna70
0

1) решение:

2) решение:

3) решение:

Приложения:
Вас заинтересует