Ответы
Ответ дал:
0
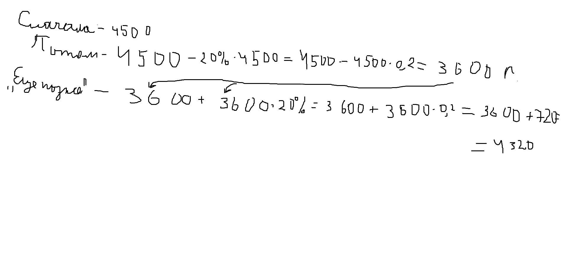
Відповідь:
4320
Покрокове пояснення:
Приложения:
Ответ дал:
0
а ещё 2 задачи??
Ответ дал:
0
24000+12% =24000+2880=26880
26880+12%=26880+3225,6=30105,6
ответ ложка стоит 30105,6
Приложения:
Ответ дал:
0
Определим, сколько денег придется выплатить после уплаты долга в июне:
35000*0,65 = 22750 рублей. (0,65 так как 1-0,35)
Тогда Кира заплатит подруге в июле:
35% от оставшейся суммы 22750*0,35 = 7962,5 рублей.
Ответ: 7962,5 рублей.
35000*0,65 = 22750 рублей. (0,65 так как 1-0,35)
Тогда Кира заплатит подруге в июле:
35% от оставшейся суммы 22750*0,35 = 7962,5 рублей.
Ответ: 7962,5 рублей.
Ответ дал:
0
В июне Кира заплатит 35000/100*35=12250 рублей.
Получается, что долг Киры на июль составляет 35000-12250=22750 рублей.
Получается, что в июле Кира заплатит 22750/100*35=7962.5 рублей.
Ответ: 7962 рубля 50 копеек.
Получается, что долг Киры на июль составляет 35000-12250=22750 рублей.
Получается, что в июле Кира заплатит 22750/100*35=7962.5 рублей.
Ответ: 7962 рубля 50 копеек.
Ответ дал:
0
сп
Ответ дал:
0
а как тебя зовут
Ответ дал:
0
представляеш мне вчера какой-то удалил все мои ответы
Вас заинтересует
2 года назад
3 года назад
3 года назад
9 лет назад
9 лет назад
10 лет назад