• Предмет: Математика
  • Автор: maryalivadievna55
  • Вопрос задан 8 лет назад

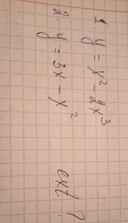
у=3x-x^2 помогите пожалуйста исследовать функцию на экстремум​

Приложения:

Ответы

Ответ дал: natali15medved
0

Ответ:

Пошаговое объяснение:

1/ у¹=2х-6х²=0

х-3х²=0

х(1-3х)=0

х=0

1-3х=0

3х=1

х=13

Методом интервалов проверим знаки производных в полученных интервалах. Производная  в точке х=0 меняет знак с минуса на плюс, значит это точка минимум, а в х=13 меняет знак с - на +, это точка максимум.

2) у¹=3-2х=0

2х=3

х=1,5

В этой точке производная меняет знак с + на -, значит х=1,5 точка максимум

Вас заинтересует