• Предмет: Алгебра
  • Автор: xxxuz
  • Вопрос задан 8 лет назад

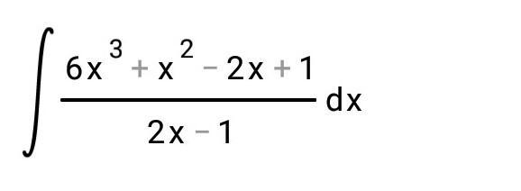
Нужно найти неопределенный интеграл.​

Приложения:

Ответы

Ответ дал: NNNLLL54
0

int frac{6x^3+x^2-2x+1}{2x-1}dx=int (3x^2+2x+frac{1}{2x-1} )dx=3cdot frac{x^3}{3}+2cdot frac{x^2}{2}+frac{1}{2}ln|2x-1|+C=\\=x^3+x^2+frac{1}{2}ln|2x-1|+C

 6x³+x²-2x+1  | 2x-1

                       |---------------

-(6x³-3x²)       | (3x²+2x)    

---------------

        4x²-2x

       -(4x-2x)

       --------------    

                  0+1            

Вас заинтересует