Ответы
Ответ дал:
0
Ответ:
Пошаговое объяснение:
1)=2а
2)=-18х
3)=0,4а-1,6b
4)=-1,5m-0,4
5)=-0,2p-2,9d-1,2
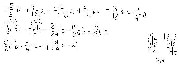
6)=(-5/6a+7/12a)+(7/8b-5/12b)=
(-10/12a+7/12a)+(21/24b-10/24b)=
-1/4a+11/24b
Ответ дал:
0
1) 2а
2) -18х
3) 0,4а-1,6б=0,4(а-4б)
4)-1,5м-0,4=-1(м+0,4)
5)-0,2р-2,9д-1,2=-1(0,2р+2,9д+1,2)
6) на фото
Приложения:

Вас заинтересует
2 года назад
3 года назад
3 года назад
8 лет назад
9 лет назад