Имеют ли окружность x^2+y^2=4 и мрямая x+y=2 общие точки. Если имеют, то укажите их координаты. Дайте ответ не выполняя построение
Ответы
Ответ дал:
0
!!!!!!!!!!!!!!!!!!!!!!!!!!!!1
Приложения:

Ответ дал:
0
Ответ:
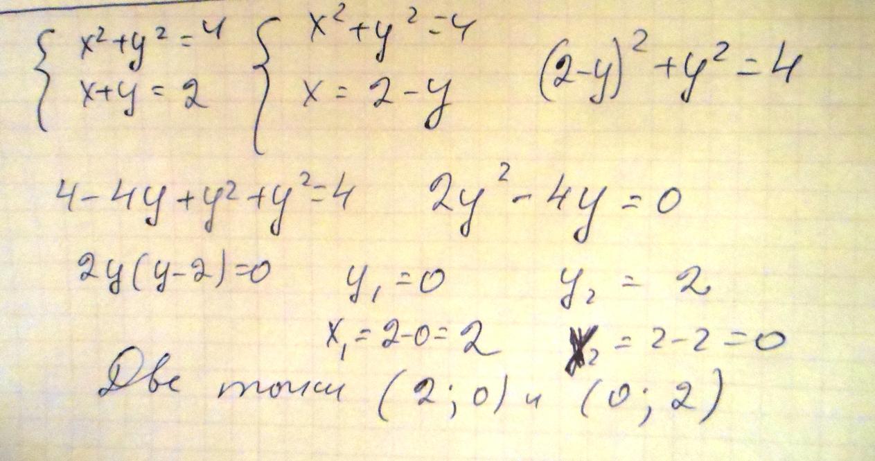
Да.х=2;у=0. И х=0; у= 2
Пошаговое объяснение:
{ Х^2+у^2=4;
Х+у=2.
{ х=2-у,
(2-у)^2+у^2=4;
4-4у+у^2+у^2=4
-4у+2у^2=0;
2у(у-2)=0;
Отсюда : у=0; и у=2.Подставляем в уравнение: х=2-у, получаем: х=2;х=0.т.е. Имеем две точки (2;0) и (0;2)
Приложения:

Вас заинтересует
2 года назад
2 года назад
3 года назад
8 лет назад
8 лет назад
9 лет назад
9 лет назад