Срочно!!!
Положительные числа x и y таковы, что x^2+(y^2)/9=6. Найдите наибольшее возможное значение выражения xy.
Ответы
Ответ дал:
0
Если максимально, то и
тоже максимально.
Выражаем из равенства и подставляем в выражение:
Получившееся выражение – квадратичная функция относительно . Известно, что максимум такой функции достигается в вершине, в данном случае – при
Тогда ,
'
Этим значениям x и y соответствует значение произведения
Ответ. 9
Ответ дал:
0
Ты лучшая
Ответ дал:
0
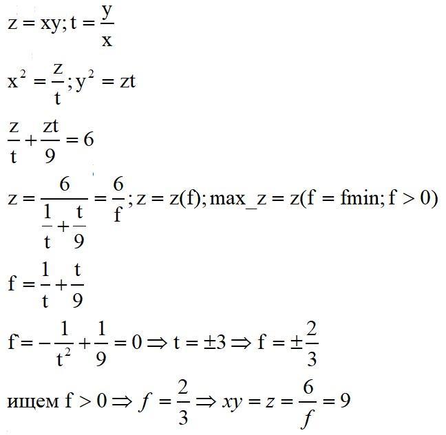
ответ 9
просто свой способ )
Приложения:

Вас заинтересует
2 года назад
2 года назад
3 года назад
3 года назад
8 лет назад