• Предмет: Математика
  • Автор: belozerovandrey06
  • Вопрос задан 8 лет назад

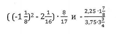
сравните значения выражения

Приложения:

Ответы

Ответ дал: xiaomi3205
0

Ответ:

<

Пошаговое объяснение:

Ответ дал: mini15kinder
0

Ответ:

Пошаговое объяснение:

<.

Вас заинтересует