• Предмет: Физика
  • Автор: s1mb4yo
  • Вопрос задан 8 лет назад

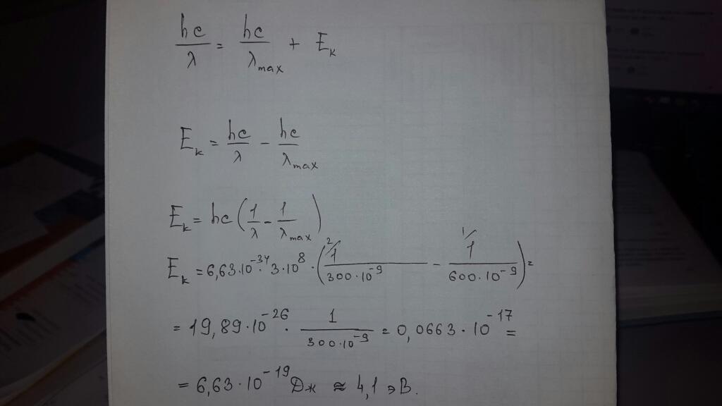
Красная граница фотоэффекта для некоторого металла равна Лямбда кр =600 нм на поверхность металла падает свет с длинной волны лямбда=300 нм. Найти максимальную кинетическую энергию фотоэлектронов, выбиваемых с поверхности металла. Постоянная Планка h=6.63*10^-34

Ответы

Ответ дал: imanzhan
0

задача решвется по формуле Эйнштейна для фотоэффекта.

Приложения:
Вас заинтересует