• Предмет: Математика
  • Автор: ghvvfg
  • Вопрос задан 8 лет назад

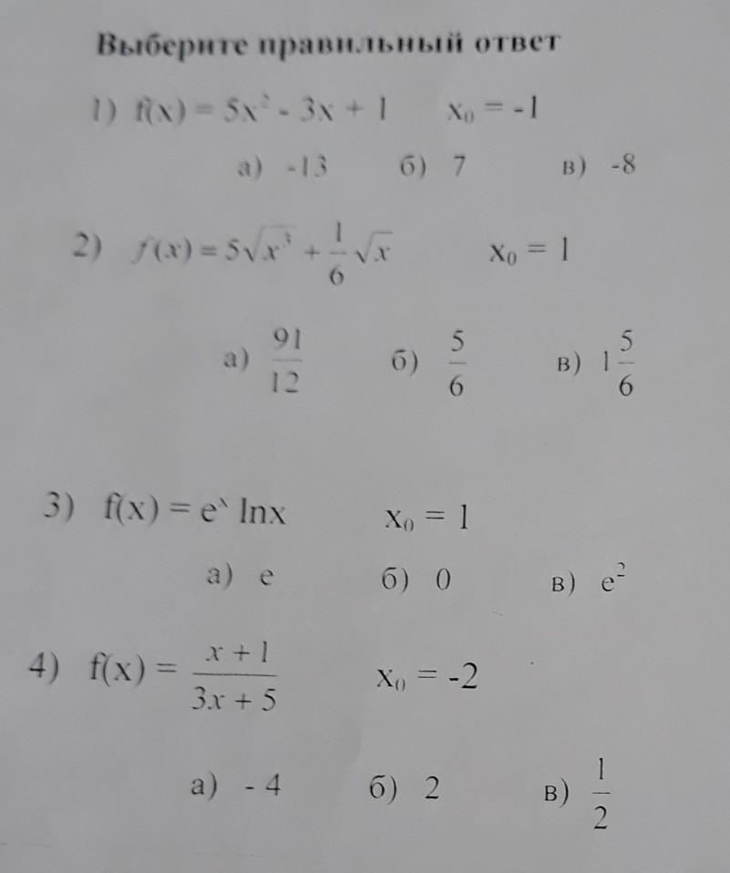
математика. мне это очень нужно. фото прилагается. спасибо​

Приложения:

Ответы

Ответ дал: f1uter
0

Ответ:

1 а  2 а 3 а 4 б

Пошаговое объяснение:

как я понял, здесь нужно находить производную, в 1 f(x)=10x-3 , подставляем -1 и получаем -13, далее по аналогии

Ответ дал: ghvvfg
0
спасибо большое за ответ
Ответ дал: f1uter
0
братан , надеюсь я все правильно решил xD
Ответ дал: ghvvfg
0
я тоже на это надеюсь :)
Ответ дал: f1uter
0
напиши потом , что получится
Ответ дал: ghvvfg
0
угу
Вас заинтересует