30 БАЛЛОВ
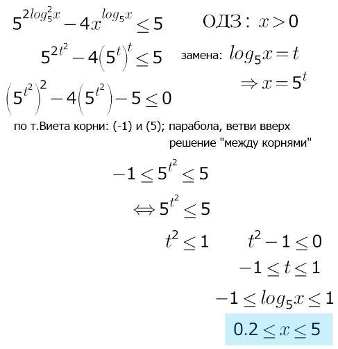
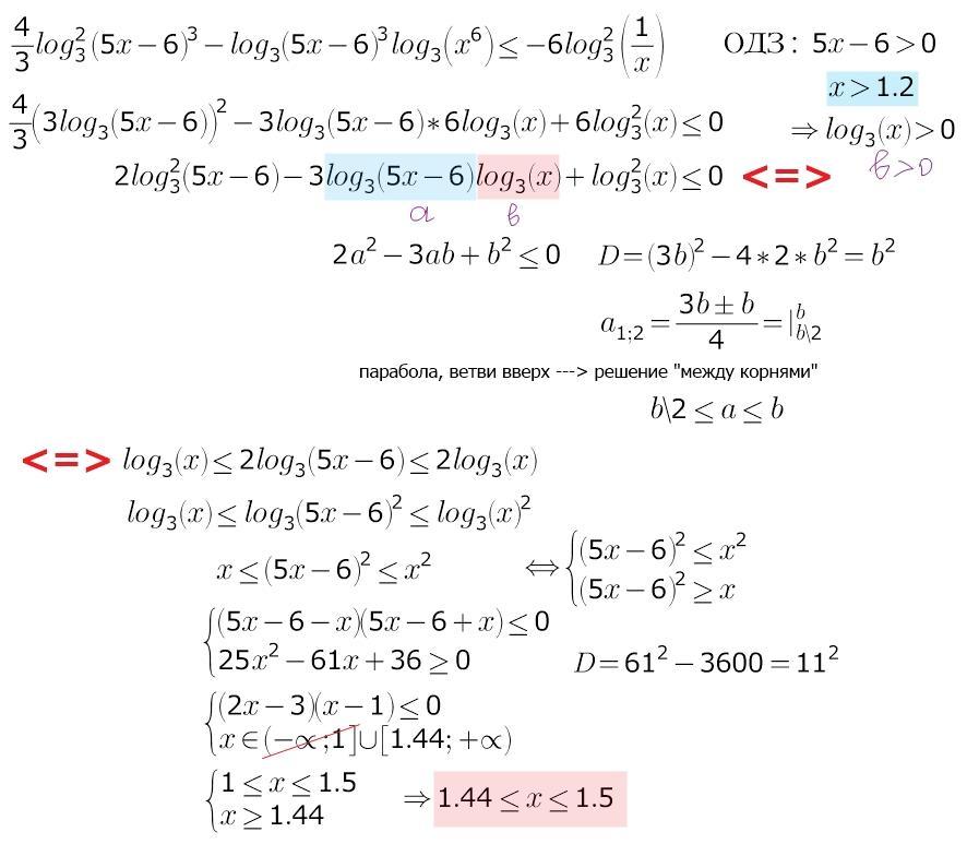
Решите логарифмическое неравенство (10 класс; уровень сложности: средний) Смотрите фотографию
Задание 9
Оформить в ПИСЬМЕННОМ виде!
Приложения:

Ответы
Ответ дал:
0
не успела добавить решение 7 неравенства в тот вопрос, где речь шла о нем... добавляю сюда))
Приложения:


Вас заинтересует
2 года назад
3 года назад
3 года назад
8 лет назад
8 лет назад
9 лет назад
9 лет назад