• Предмет: Математика
  • Автор: nastya206443
  • Вопрос задан 8 лет назад

Помогите пожалуйста! Нужно решить систему уравнений​

Приложения:

Ответы

Ответ дал: Edward2121
0

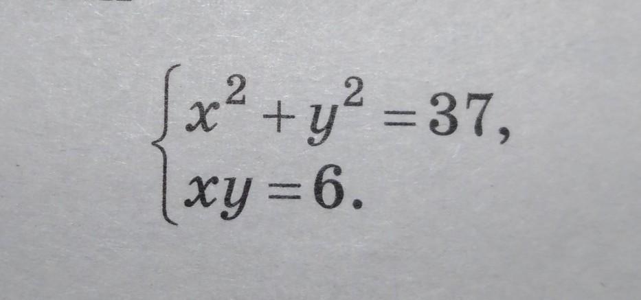
{x²+y²=37

{xy=6

РЕШЕНИЯ:

{x²+y²=37

{2*xy=2*6

{x²+y²=37

{2xy=12  

{x²+y²2xy=37+12

(x+y)²=49

x+y=±7

1.при x+y=7  => x=7-y

y(7-y)=6

7y-y²=6

y²-7y+6=0

D=49-24=25=5²

y₁,₂=7±5/2   =>    y₁=6 ; y₂=1 и x₁=1 ; x₂=6

2.при x+y=-7  => x=-7-y

y(-7-y)=6

-7y-y²=6

y²+7y+6=0

D=49-24=25=5²

y₁,₂=-7±5/2 =>     y₃=-1 ; y₄=-6 и x₃=-6; x₄=-1

ОТВЕТ: (x;y=>) (6;1)(1;6)(-1;-6)(-6;-1)

Вас заинтересует