• Предмет: Алгебра
  • Автор: annnna70
  • Вопрос задан 8 лет назад

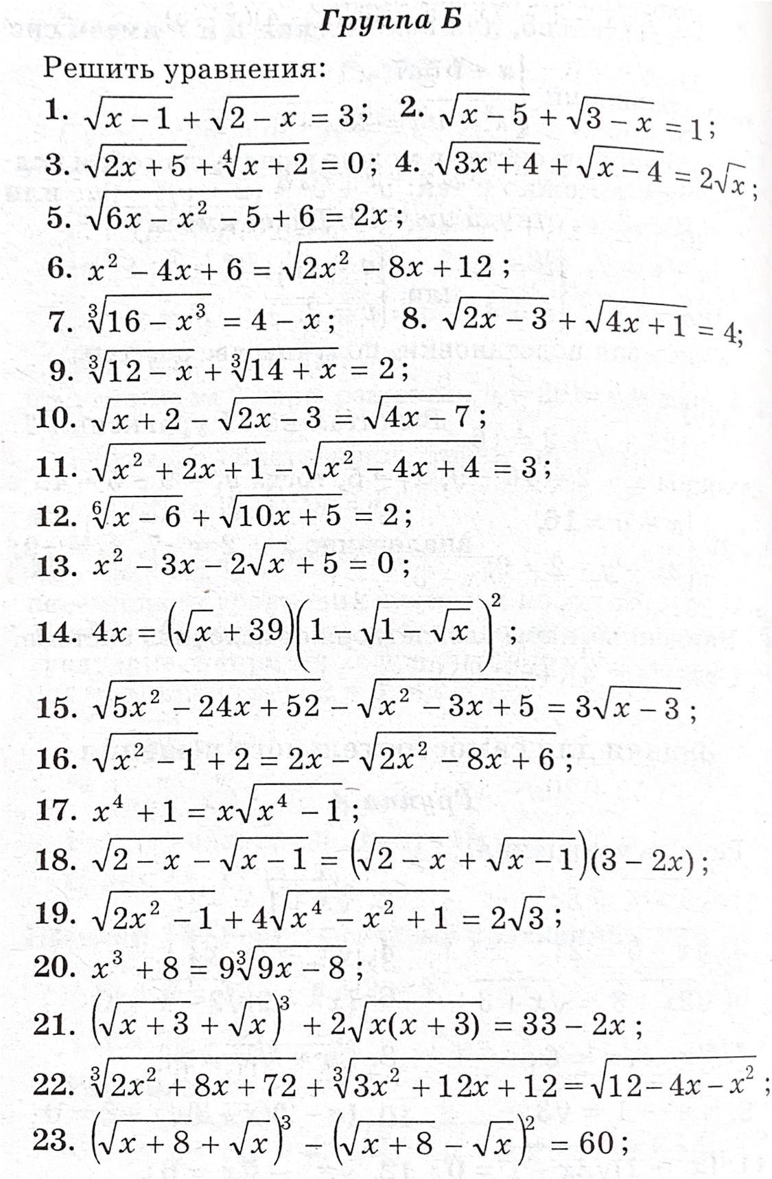
Распишите, пожалуйста, решения уравнений 1 и 3.

Заранее спасибо

Приложения:

Ответы

Ответ дал: grabinskau
0

1) √x-1+√2-x=3

x-1+2√(x-1)(2-x)+2-x=9

-1+2√2x-x²-2+x+2=9

1+2√3x-x²-2=9

2√3x-x²-2=8

√3x-x²-2=4

3x-x²-2=16

3x-x²-2-16=0

-x²+3x-18=0

x²-3x+18=0

x=-(-3)±√(-3)²-4*1*18/2*1

x=3±√9-72/2

x=3±√-63/2

x∉R

2)  √2x+5+⁴√x+2=0

   √2x+5=-⁴√x+2

    (2x+5)²=x+2

    4x²+20x+25=x+2

    4x²+20x+25-x-2=0

   4x²+19x+23=0

    x=-19±√361-368/8

     x=-19±√-7/8

     x∉R

Вас заинтересует