Ответы
Ответ дал:
0
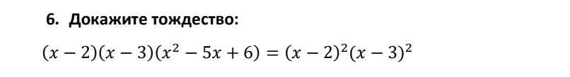
необходимо разложить квадратный трехчлен по формуле
а(х-х1)(х-х2) , где х1 и х2 - его корни
X^2-5x+6=0
D=25 - 24 = 1
x1= (5+1)/2 = 3
x2= (5-1)/2 = 2
Далее раскладываем по приведенной формуле, учитывая, что коэфф. а=1
(х-2)(х-3)=0 теперь заменяем трехчлен на это.
(х-2)(х-3)(х-2)(х-3)=(х-2)^2(х-3)^ 2 - тождество доказано.
(х-2)^2 * (x-3)^2 = (x-2)^2 * (x-3)^2
Ответ дал:
0
a(x-x1)(x-x2)
x^2-5x+6=0
D=25-24=1
x1=(5+1):2=3
x2=(5-1):2=2
Коэффициент.
A=1
(x-2)(x-3)=0
(x-2)(x-3)(x-2)(x-3)=(x-2)^2(x-3)^2
Тождество доказано)
x^2-5x+6=0
D=25-24=1
x1=(5+1):2=3
x2=(5-1):2=2
Коэффициент.
A=1
(x-2)(x-3)=0
(x-2)(x-3)(x-2)(x-3)=(x-2)^2(x-3)^2
Тождество доказано)
Вас заинтересует
3 года назад
3 года назад
9 лет назад
9 лет назад
10 лет назад