• Предмет: Математика
  • Автор: duracell173
  • Вопрос задан 8 лет назад

Помогите пожалуйста решить, заранее спасибо

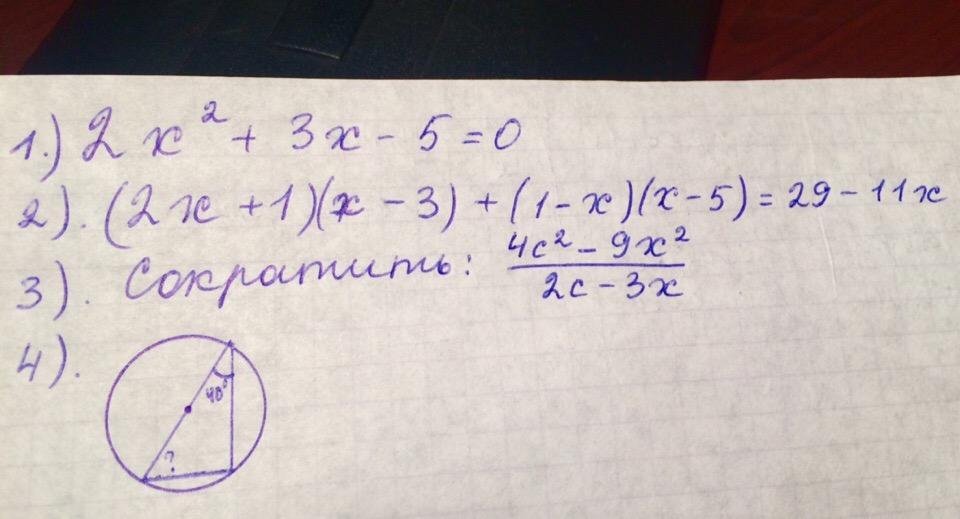
Приложения:

Ответы

Ответ дал: lina145293
0

1)2x2+3x-5=0

D=9+40=49

x1=(-3+7)/4=1

x2=(-3-7)/4=2.5

3)(2с-3x)(2с+3x)/2c-3x=2c+3x

4)тк треугольник опирается на диаметр он прямоугольный значит неизвестный угол равен 180-90-40=50

Вас заинтересует