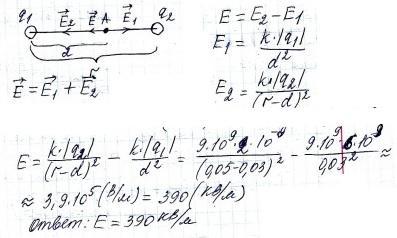
Какова напряжённость электростатического поля, создаваемого двумя зарядами 6нКл и q=-2нКл в точке, находящейся между зарядами на расстоянии 0,03м от первого заряда на линии, соединяющей заряды. Расстояние между зарядами 0,05м.
Ответы
Ответ дал:
0
____________
____________
____________
Приложения:

Вас заинтересует
2 года назад
3 года назад
3 года назад
8 лет назад
8 лет назад
9 лет назад