Ответы
Ответ дал:
0
Ответ:
Пошаговое объяснение:
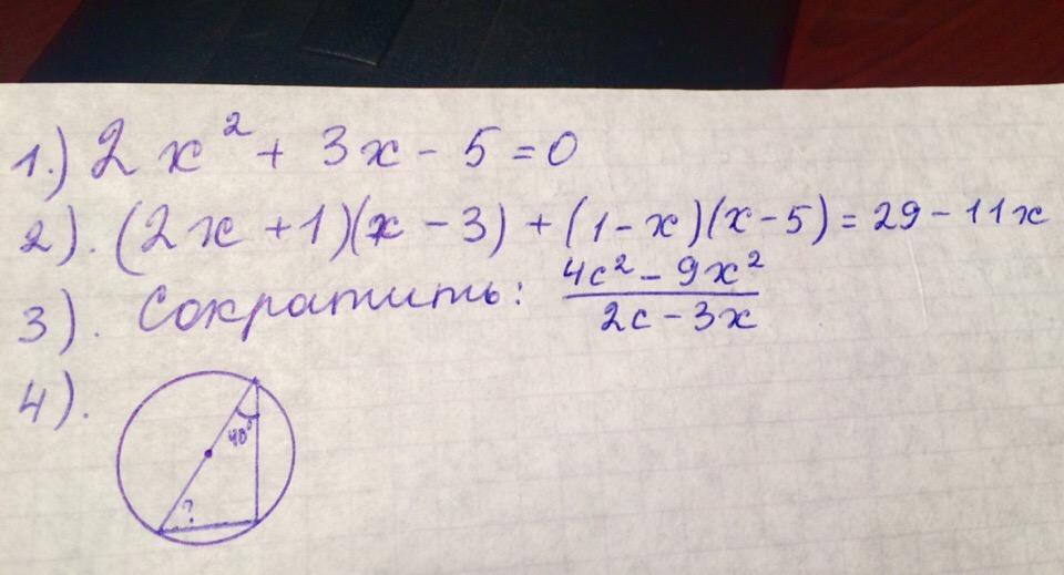
Решение: 1) Д=3^2-4*2*(-5)=9+40=49, x1=-3+7 /4=-5/2, x2=1
2)2x^2-6x+x-3+x-5-x^2+5x=29-11x, x^2+12x-37=0, Д=144-4*37=144-148=-4< 0, нет решений,
3)(2c-3x)(2c+3x) /(2c-3x)=2c+3x
4) угол равен 90-40=50град. 3-й угол =90 гр., т.к. опирается на диаметр
Ответ дал:
0
Вроде так решать, но во 2 не уверен
Приложения:

Вас заинтересует
2 года назад
3 года назад
3 года назад
8 лет назад
8 лет назад
9 лет назад