• Предмет: Математика
  • Автор: Алексей55578678
  • Вопрос задан 8 лет назад

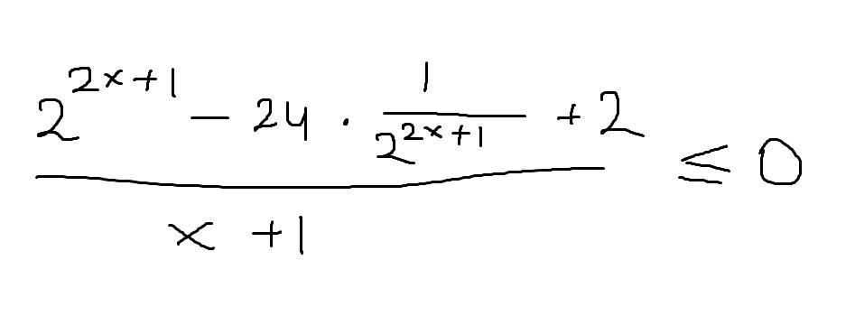
Легкий пример с заменой, решите методом интервалов пж)
У меня получилось (-беск до -1) и от(-1 до 0,5} . Ответ просто с учителем не сходится, а ошибку найти не получается)

Приложения:

Ответы

Ответ дал: dnepr1
0

Ошибка в том, что при значении аргумента меньше -1 функция положительна.

Вот результат подсчёта значений функции:

x y

-2 189,88

-1,5 187,5

-1,2 304,79

-1 #ДЕЛ/0!

-0,8 -168,59

-0,5 -42

0 -8

0,3 -2,22

0,5 0

1 3,5

2 11,08

3 32,45

Так что ответом будет: -1 < x ≤ 0,5.

Приложения:
Ответ дал: Алексей55578678
0
вы тут?
Ответ дал: Алексей55578678
0
если да, то можете решить помочь с этим https://znanija.com/task/32020268
Ответ дал: Алексей55578678
0
это тоже самое, но на конкретном примере
Ответ дал: Алексей55578678
0
там 30+ баллов)
Вас заинтересует